返回
目录

LDPC自动化开发平台使用教程

更新时间:2026年3月12日

目录导航

一、平台概述

LDPC码作为一种接近香农极限的信道编码技术,广泛地应用于现代通信系统中。随着数据传输速率的不断提高和对通信质量要求的日益严格,LDPC码的优势愈发凸显,成为了下一代通信标准(如5G、Wi-Fi 6等)的核心技术之一。通过有效地纠正传输过程中的错误,LDPC码能够显著提高系统的可靠性和数据传输效率。

LDPC自动化开发平台作为一款面向LDPC码的全流程智能化编译码器生成工具,基于“新硬件架构+新译码算法+自动化开发”联合设计,可以根据用户需求和目标平台(FPGA、ASIC)进行智能化仿真验证、优化调整,快速、准确、高效地根据特定需求生成相应的编译码器部署方案。帮助用户实现不同阶段的编译码方案设计需求,有效减少开发时间与团队建设成本,完成综合性能极佳的系统性设计方案。

二、快速入门

1. 访问

可通过电脑浏览器(Google Chrome、Mozilla Firefox、Microsoft Edge、Safari)对myLDPC官方网站(www.myldpc.com)进行访问。

2. 注册与登录

2.1 注册(首次登录自动注册):

首次通过网站链接访问后,进入平台登录页,会显示出注册及登录界面。您可通过填写本人真实有效的手机号码作为账号进行注册;注册成功后,系统会为您发送短信验证码进行验证及登录。

2.2 登录:

在平台登录界面,输入您注册时预留的手机号码,点击获取验证码,即可通过接收短信验证码进行登录。

三、平台功能及开发流程

1. 开发流程

开发流程

载入工作页后,新的工程需按照工程管理→分析矩阵→仿真验证→方案生成→方案下载的流程使用myLDPC自动化开发平台。

2. 功能介绍

2.1 矩阵分析(*协助验证校验矩阵正确性)

  1. 上传校验矩阵H;
  2. 平台校验H矩阵正确性, 并返回当前矩阵对应的码参数;
  3. 用户确认后可进行仿真验证。

2.2 仿真验证(*协助验证需求)

  1. 用户选择仿真模式(自动仿真和深度仿真两种模式);
  2. 平台根据用户的仿真需求进行仿真, 并将仿真结果显示在平台页面。

2.3 方案生成(*需求生成)

  1. 用户选择需要部署的方案类型(通用部署或特定器件部署);
  2. 平台根据用户的部署要求, 对应生成完整的通用或特定器件部署方案, 并将部分主要参数显示在平台页面;
  3. 用户下载部署文件, 完成相应的工程部署。

3. 操作界面

操作界面

平台工具整体分为6个部分,分别为①平台信息栏、②功能菜单、③参数输入栏、④操作提示信息栏、⑤结果显示终端、⑥图像显示终端。具体地:

四、H矩阵

1.关于H矩阵

(1)完整矩阵

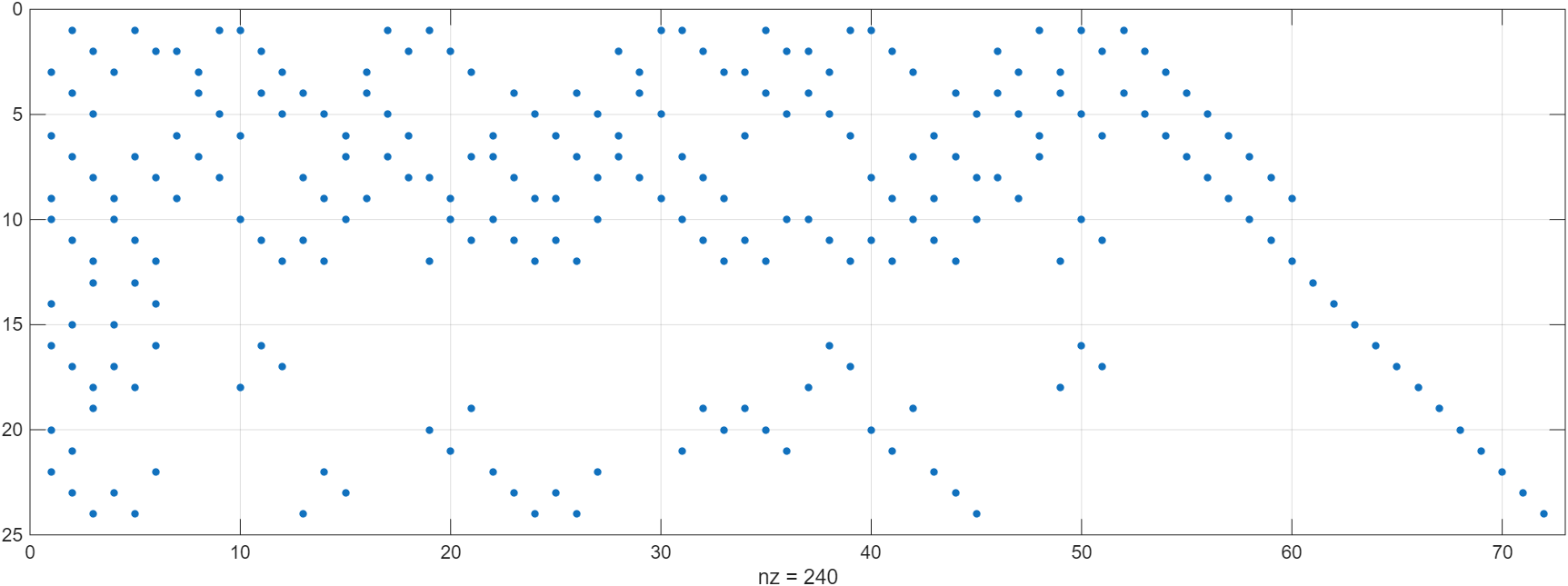
①说明:完整校验矩阵为(72-48)=24行、72列的矩阵,代表信息比特48比特、码字比特72比特、校验比特24比特。其元素仅由0,1两种数值构成,其中第i行、第j列的元素“1”代表第j个码字比特参与第i个校验矩阵的校验。

②示例:(72,48),2/3码率

完整矩阵示例1 完整矩阵示例2

(2)循环移位矩阵

①说明:完整校验矩阵为(384-192)=192行、384列的矩阵,代表信息比特192比特、码字比特384比特、校验比特192比特。其元素仅由0,1两种数值构成,其中第i行、第j列的元素1代表第j个码字比特参与第i个校验矩阵的校验。

对于符合准循环特性的LDPC码,其校验矩阵除了使用完整校验矩阵的形式以外,还可以采用准循环矩阵+提升值的形式来表征:(384,192)码型的准循环矩阵为12行、24列的矩阵、提升值为16。即12行、24列的准循环矩阵中每一个元素表示的是一个维度为16的方阵子矩阵:-1代表维度为16的全0子矩阵,0代表维度为16的单位子矩阵,其他数值x代表对维度为16的单位子矩阵循环右移x次。

②示例:(384,192),1/2码率

循环移位矩阵示例1 循环移位矩阵示例2

2. 示例矩阵下载

示例矩阵为(352,480)的完整矩阵,点击下载

五、各项参数说明

1. 我的工程

2. 矩阵分析

3. 仿真验证

4. 方案生成

六、开发实操演示

1. 案例描述

我们将以用于无线通信设备的一套LDPC编译码器为例,演示使用本平台进行开发的全部过程。

假设编译码器将在KU13P平台上进行部署,性能要求如下:

2. 详细操作流程

(1)需求确认

经过充分论证,拟采用(352,480),码率为11/15的码型进行编译码器开发。同时,开发过程将使用一站式“LDPC自动化开发平台”进行开发。

(2)开发准备

  1. 在登陆LDPC自动化开发平台后,新建工程完成本次开发;
  2. 点击我的工程,选择新建工程;
  3. 根据本次开发类型选择“单码”开发;
  4. 填写工程名称,并确认;
新建工程填写名称
  1. 随后控制台显示新建工程成功,至此平台开发正式开始。

(3)矩阵分析

  1. 进入矩阵分析单元,点击上传矩阵,选择拟采用的校验矩阵H;
上传矩阵
  1. 上传完成后,填入内核并行度1,并点击提交分析;
填入并行度并提交分析
  1. 等待一段时候后,平台返回分析数据;
矩阵分析结果
  1. 此时可以看到,矩阵的基本信息被返回,码长为480,码率为11/15,基本信息与预设矩阵一致,说明矩阵没有问题,可以开展后续操作。

(4)仿真验证

  1. 矩阵验证无误后,需要进行仿真来查看BER曲线是否满足系统设计的性能要求;
  2. 选择仿真验证单元,点击深度仿真;
  3. 点击下拉框,选择要进行仿真的码型;
选择仿真码型
  1. 根据系统设计需求,编译码器仿真的信噪比范围在0~2dB,步进为0.5,仿真量为1000,调制方式为BPSK,信道模型为AWGN,最大迭代次数为10次,将这些参数依次填入数据栏中;
填写仿真参数
  1. 仿真参数确认无误后,点击预估仿真时间;
  2. 等待一段时间后,控制台返回所设参数需要的仿真时间;
仿真时间预估
  1. 预估时间为265秒,点击开始仿真,待时间结束后查看仿真结果;
开始仿真
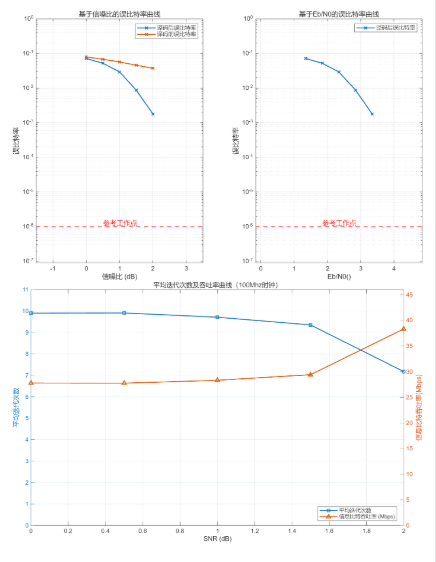
  1. 点击查看仿真结果,右侧返回此次仿真的BER曲线、平均迭代次数及吞吐率随SNR变化关系曲线。
仿真结果
  1. 查看曲线,确认性能满足,继续开展后续操作。

(5)方案生成

  1. 仿真结果确认无误后,选择方案生成单元,因为本方案要在FPGA上完成部署,所以点击特定器件部署;
  2. 根据系统设计要求及仿真结果,平均迭代次数为2,时钟频率为150,FPGA器件型号为KU13P,将参数填入到对应参数栏,器件类型选择项目对应的精确器件型号(xcku13p-ffve900-1-e),确认无误后,点击生成部署方案;
方案生成参数配置
  1. 等待一段时间后,点击查看部署方案获取方案详情;
方案生成结果
  1. 返回的结果显示,此次开发LUTs开销:5725,FFs开销:2136,BRAM开销:7,时序裕量:3.21,无时序违例,吞吐率达到281Mbps,满足开发需求。至此,开发工作顺利完成。

(6)方案下载

项目开发完成,选择方案下载单元,查询对应的部署方案进行下载即可。

方案下载

操作贴士:

七、常见问题Q&A

  1. 为什么登陆后新建工程失败?

    新建工程失败通常为网络延迟或浏览器缓存导致的访问失败,刷新页面后即可正常操作。

  2. 是否能够在一个工程下更换校验矩阵完成新的任务?

    在一个工程下可重新上传新的矩阵开始新的任务,但此工程下的前置矩阵将被覆盖,请您做好工程控制。

  3. 分析校验时,结果终端中显示的多码数量与裁剪因子是什么?

    分析校验时,结果终端中显示的多码数量与裁剪因子为多码版本的配置参数,如您为单码开发,请忽略此信息;如您有多码开发需求,请通过平台联系方式与我们联系。

  4. 为什么上传校验矩阵后,长时间无信息返回?

    上传校验矩阵后长时间无信息返回有三种可能:①矩阵较为庞大,所需分析时间较长,请稍加等待后再次查询;②矩阵无法打开或内部数据出现错误,请您检查上传的校验矩阵是否正确;③矩阵上传通道是否正确,例如完整H矩阵通过循环矩阵通道上传,诸如此类错误较为常见。

  5. 平台的仿真与常规仿真是否不同?

    LDPC自动化开发平台的仿真区别于常规的仿真算法。常规仿真采用BP译码算法,在有限迭代次数下收敛较慢;而LDPC自动化开发平台采用分层译码+非线性补偿的方式完成仿真,在有限次迭代次数情况下,能够更快完成收敛。

    此外,本平台的仿真与部署方案生成可以保证完全一致,例如硬件实现层面的并行度参数对于收敛速度、性能的影响同样会在仿真环节有所体现。

  6. 仿真验证阶段所配置的参数选择或范围不能满足实际需求怎么办?

    在仿真阶段,若参数选择或范围不能满足您的需求,请通过平台上的联系方式与我们联系,我们在了解清楚您的需求后,会及时补充或更新相应的内容。

  7. 通用部署的资源开销为什么是零?

    通用部署的方案为迁移的RTL代码,不涉及具体器件上的资源开销,若您需要评估资源开销情况,请使用特定器件部署模式。

  8. 特定器件部署中的器件型号未包含我实际使用的怎么办?

    若器件选择未包含您实际使用的器件,请通过平台联系方式与我们联系,我们会根据您的需求,尽快补充完善相应的型号。

  9. 方案下载时,提示我没有权限怎么办?

    方案下载前所有功能都是免费试用,下载方案需要付费下载。若您需要下载具体方案,请通过平台上的联系方式与我们联系。

  10. 仿真与资源评估次数用完怎么办?

    平台为每位用户提供每月5次仿真验证与15次资源评估次数,当月使用完毕后,将在次月1日自动补充。若您在当月仍有验证需求,可通过新的手机号码完成其他验证任务。

八、获取支持

如您在使用过程中遇见其他问题, 欢迎通过以下方式与我们联系。

微信公众号二维码

在微信公众号中选择菜单→客户服务。